Terveppä terve kaikki! Meidän ryhmämme on numerolta 2 ja ryhmäämme kuuluu Mira Hänninen, Tuija Kärkkäinen, Elina Tikkanen, Taru Puurunen sekä Emmi Pikkarainen.
V-pato ja volymetrinen mittaus
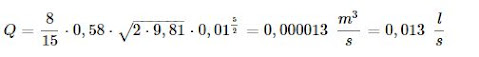
Ensimmäiseksi harjoitukseksi saimme mitata virtaaman V-padon avulla. Mittaus suoritettiin pressu V-padolla Pieni-Valkeisen poisto- ja tulouomasta. Pressussa oli V:n muotoinen mitta-asteikko, josta voi laskea virtaaman, kun vesi saadaan pressulla ohjattua virtaamaan siitä läpi.
Löysimme nopeasti poistouoman sekä siitä tarpeeksi tasaisen ja virtaavan kohdan mittauksen suorittamiseen. Pressu asetettiin uomaan, ja padoimme sitä hiekan ja kivien avulla siten, että mahdollisimman paljon virtaavasta vedestä kulkisi V-padon läpi. Virtaamaa ei täysin saanut patoon ohjattua, arvioimme ohivirtaaman määräksi 10 %.
Pieni-Valkeisen poistouoman virtaama (Puurunen, 2023)
Tulouomassa virtaama oli paljon pienempi, joten sopivaa kohtaa padolle oli vaikea löytää. Löysimme kuitenkin sellaisen, mihin jotenkin saimme pressun aseteltua. Ohivirtaamaksi arvoimme kuitenkin n. 30 %, koska emme saaneet padottua virtaamaa täysin parhaasta löytämästämme kohdasta huolimatta.
Valuma-alueen maastokatselmus
Valuma-alueen maastokatselmukseen lähdimme ensimmäisen kenttätyön jälkeen, jossa olimme jo vähän kerenneet tutustua maastoon. Valuma-alue määritettiin VALUE-työkalulla, jonka mukaan alueen pinta-ala on 578 415 m^2.
Maastokatselmuksen aikana sää oli pilvistä, osittain aurinkoista ja lämpötila 10 asteen luokkaan. Maastoon kuuluu rakennettuja lenkkipolkuja, asuinrakennuksia ja luonnon mukaista maastoa.
Pieni-Valkeinen lampeen tulee neljä uomaa, joista yksi liittyy jo kartalle merkitylle uomalle. Neljä karttaan merkitsemätöntä uomaa on piirretty kuvaan 2 punaisella. Kuvan alaosassa olevat uomat ovat rakennettuja ojituksia lenkkipoluilta, keskimmäinen uoma on luonnon muodostama valuma-alueelta ja ylin merkitty uoma on rakennettu asutusalueelta. Lammesta lähtee yksi poistouoma, joka virtaa Iso-Valkeiseen kuvan vasemmalla puolen.



Kommentit
Lähetä kommentti