Ryhmän jäsenet
Tomi Autio, Pinja Heikkinen, Emilia Miettinen ja Lauri Reiman
Virtaaman mittaus
Tehtävä
Tehtävänä oli suorittaa pieni-valkeisen lammen tulo- ja poistouoman virtaama v-padolla (Kuva 2) ja volymetrisesti kahdesta mittauspisteestä, Pieni-Valkeisen tulouomasta sekä Isovalkeisen tulouomasta (Kuva 1)
Kuva 1. Virtausmittaus pisteet kartalla.
Kuva 2. V-pato pieni-valkeisen poistouomassa. (Miettinen, 5.10.2021).
Työn suoritus
V-pato
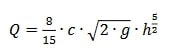
Mittaus suoritettiin siten, että uomien koko vesimäärä kaapattiin v-pato pressuun (Kuva 2). Pressu asetettiin sellaiseen paikkaan, jossa oli riittävästi kaatoa, eikä uoma ollut liian leveä. Sopivan paikan löydyttyä pressu tiivistettiin maalla lapion avulla. Veden noustua pressulla, luettiin vain vedenpinnan korkeus metallisesta v:n muotoisesta asteikosta. Virtaama v-padolla saadaan laskettua alla olevalla kaavalla,

jossa Q on virtaama (m3/s), c on vakio (0,58), g on maan putoamiskiihtyvyys ja h on vedenpinnan korkeus v-padon asteikolla.
Volymetrinen mittausVolymetrinen mittaus suoritettiin tehdyistä v-padoista mitta-astian ja sekunttikellon kanssa. V-padosta otettiin vettä astiaan ja samalla otettiin aikaa. Koe toistettiin 5 kertaa tulo- ja poistouomassa ja tuloksista laskettiin keskiarvot. Molempien kokeiden tulokset kirjattiin valmiiksi tehtyyn excel -pohjaan.
Tulokset
Tulouoma: v-padolla 0,21 l/s ja volymetrisesti 0,394 l/s.
Poistouoma: v-padolla 0,77 l/s ja volymetrisesti 1,134 l/s.
Kuva 3. Virtaamien tulokset. (Autio, 5.10.2021)
Kenttämittaukset
Tehtävä
Tehtävän tarkoituksena oli arvioida veden laatua kenttämittauslaitteiden avulla. Kenttämittaukset suoritettiin kolmessa eri paikkaa (Kuva 3): Pieni- Valkeisen tulo- ja poistouoma sekä Iso-Valkeisen tulouoma. Kenttämittauksissa mitattiin veden lämpötila (°C), pH, happipitoisuus (mg/l) ja sähkönjohtavuus (µS/cm). Lisäksi tehtiin aistinvaraisia havaintoja: veden haju ja näkö.
Kuva 4. Mittauspisteiden paikat kartalla.
Työn suoritus
Ensimmäinen mittaus tehtiin Iso-Valkeisen tulouomalta. Vesi oli hieman ruskean näköistä, mutta silti läpinäkyvää. Vedessä ei ollut poikkeavaa hajua. Vesi virtasi selkeästi. Kenttämittauksien perusteella veden laatu oli mittaushetkellä hyvä: pH järvivesille tyypillinen, sähkönjohtavuus hieman korkea (ehkä hulevesien aiheuttama), happipitoisuus hyvä (Kuva 5).
Kuva 5. Iso- Valkeisen tulouoman kenttämittaustulokset. (Autio 5.10.2021)
Toinen mittaus tehtiin Pieni- Valkeisen poistouomalta. Vesi oli hieman rusehtavaa, kuitenkin läpinäkyvää. Ei outoa hajua. Ei muita poikkeavia havaintoja. Veden laatu ihan hyvä: pH järvivesille normaali, johtokyky hieman korkeampi (hulevedet), happipitoisuus ok (kuva 6).
Kuva 6. Pieni-Valkeisen poistouoman kenttämittaustulokset. (Autio 5.10.2021)
Kolmas ja viimeinen mittaus tehtiin Pieni- Valkeisen tulouomalta. Vesi oli selvästi ruskeaa ja sen pinnassa oli rasvaa/öljyä. Veden haju oli hieman tunkkainen. Kenttämittausten perusteella veden laatu oli osin hyvä ja osin huono: pH oli järvivedelle tyypillinen, sähkönjohtokyky oli korkeahko (hulevedet) ja happipitoisuus oli matala (4,73 mg/l), joka tarkoittaa esimerkiksi happikatoa kaloille (kuva 7).
Kuva 7. Pieni- Valkeisen tulouoman kenttämittaustulokset (Autio 5.10.2021)
Tulokset
Tuloksien epäluotettavuutta lisää se, mittausantureita ei puhdistettu mittausten välillä (ionivaihdetulla vedellä), jolloin veden epäpuhtauksia saattoi jäädä mittareihin, mikä vääristäisi tuloksia. Sen lisäksi kenttämittauslaitteiden viimeisimmästä kalibroinnista ei ollut tietoa. Mittausta hankaloitti myös se, että mittaukset tehtiin virtaavasta vedestä, jolloin mittaustuloksen stabiloituminen oli vaikeampaa (joskin se saatiin tehtyä).
Tuloksien perusteella voidaan päätellä, että veden lämpötila sekä pH ei juurikaan poikkea eri mittauspisteillä (kaikissa pisteissä lämpötila oli jotain 8,4- 8,7 celsiusasteen väliltä ja pH:n arvo oli jotain 6,43-6,81 väliltä).
Tuloksien perusteella voidaan päätellä, että veden happipitoisuus nousee merkittävästi veden virtaussuunnan mukaisesti positiivisempaan suuntaan: Pieni-Valkeisen tulouomalla happipitoisuus oli 4,73 mg/l, kun tulouomalla se oli jo 6,61 mg/l. Veden happipitoisuus nousee merkittävästi ennen Iso-Valkeisen tulouomaa, jossa se on 10,41 mg/l. Veden pieneen happipitoisuuteen voi vaikuttaa muun muassa veden huono vaihtuvuus (hidas virtaus).
Tuloksien perusteella voidaan päätellä, että veden sähkönjohtavuus on happipitoisuuden kanssa samankaltainen: veden sähkönjohtavuus on huonoimmillaan (korkeimmillaan) Pieni-Valkeisen tulouomalla ja se paranee kohti Iso-Valkeisen tulouomaa. Pieni-Valkeisen tulouomalla sähkönjohtavuus oli 108,6 µS/cm ja sen poistouomalla sähkönjohtavuus oli 92,3 µS/cm. Iso-Valkeisen tulouomalla sähkönjohtavuus oli miltein sama kuin Pieni-Valkeisen poistouomalla: 93,1 µS/cm. Sähkönjohtavuus on Pieni-Valkeisen tulouomalla suurempi kuin muilla pisteillä todennäköisesti sen takia, että hulevesien kuormitus on siellä suurinta. Sähkönjohtavuus on riippuvainen nimenomaan vedessä olevista ioneista.
Kommentit
Lähetä kommentti